我国的人口统计数据是基于行政区划统计的,然而在研究和工作中,还需要其他形式的人口统计和分析,例如流域、区域、城市群、交通线路、以及有规范说法的任何区域等。
人口数据平台收集了历年公开统计的人口数据、历次人口普查数据,并以此为基础开发了流域、特定区域、城市群、交通线路等人口分布专题数据库。此外,本平台以六普数据为基础,基于权威部门的国家人口预测,对省、市(地级和县级)、县未来十年人口规模和人口性别、年龄结构进行预测,开发了人口预测数据库。
用户可不必再局限于行政区划人口,轻松获得不同地域划分标准下的历史、现状和今后十五年的人口数据。
1 数据来源和数据量
人口数据库分为基础数据库和专题数据库。
基础数据库以历年的统计年鉴和五普、六普统计资料为基础,收集整理了包含人口总数与分布、民族、年龄、受教育程度、家庭、死亡、户口登记状况、住房、婚姻、生育、人口迁移、就业等相关数据,数据量约200万个。
专题数据库以基础数据库为基础,开发了流域专题数据库(长江、黄河、淮河、珠江、松花江、辽河、海河、东南诸河等,数据量约80万个)、交通干线专题数据库(铁路、高速公路、国道,数据量约120万个)、人口预测专题数据库(县、县级市、地级市、省、国家,数据量约20万个)以及特定区域人口数据库(数据量约80万个)等。

2 数据库介绍
2.1 基础数据库
人口基础数据库分为统计年鉴数据库和普查资料数据库,以行政区为基本单元,以历年的公开年鉴和历次人口普查资料为基础,收集整理了国家、省、市、县以及乡镇的相关指标,包括人口概要、民族、年龄、受教育程度、家庭、死亡、户口登记状况、住房、婚姻、生育、人口迁移、就业等专题内的120多个人口相关指标。

2.2 人口预测数据库
以“六普数据”为基础,采用队列要素法,按照“六普”时的生育水平、生育模式、迁移模式等不变的假设,考虑了分年龄性别人口、总和生育率、分年龄别生育率、出生性别比、平均预期寿命、净流入人口等因素,对县、地级市、省未来十年人口规模和人口性别、年龄结构进行预测,开发了人口预测数据库。
- 预测单元:省、市、县
- 预测时段:2011年至2030年
- 预测指标:
- 总人口数:常住人口数、男性常住人口数、女性常住人口数
- 分年龄段人口数:0-4岁人口数、5-9岁人口数、10-14岁人口数、15-19岁人口数、20-24岁人口数、25-29岁人口数、30-34岁人口数、35-39岁人口数、40-44岁人口数、45-49岁人口数、50-54岁人口数、55-59岁人口数、60-64岁人口数、65-69岁人口数、70-74岁人口数、75-79岁人口数以及80岁及以上人口数。
- 预测方法(队列要素法)
队列要素法的本质是人口平衡方程,将人口分解为不同年龄性别的各个队列,将人口变化分解为出生、死亡和迁移各个要素。若定义P0为期初人口数,P1为期末人口数,B为该时期内出生人数,D为该时期内死亡人数,I为该时期内迁入人数,E为该时期内迁出人数,则有:

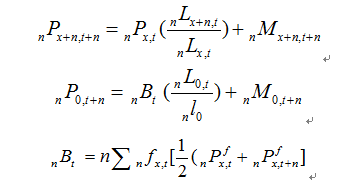
本平台的人口预测工具使用的是由Futures Group开发的人口预测软件DemProj,DemProj是政策规划软件Spectrum System对人口进行预测的基础部分,也是最主要部分。预测中使用的人口方程如下:

其中,P为人口数,M为净迁移人口,B为出生人数,n为年龄组,t为时间(年份),f表示女性,L为生命表生存人年数,l为生命表尚存人数。
2.3 专题数据库
按照不同的地域划分标准,在行政单元数据的基础上,对人口数据重新进行梳理和整合,包括流域专题、交通干线和特定区域专题三个部分.
2.3.1 流域专题数据库
- 计算原理与方法
以各行政区人口数据为基础,假设各行政单元内人口均匀分布,行政单元在流域内的面积与行政单元面积的比值,可作为行政单元流域内人口占行政单元人口的权重,进而计算各行政单元在某一流域内的人口及各流域人口信息。
- 流域专题数据库结构
流域人口专题数据库,包括长江、黄河、淮河、珠江、松花江、海河、辽河、东南诸河流域二级流域,见表1。提供各流域中二级流域中的省、市、县三级尺度的人口数据,指标包括人口概要、婚姻、家庭、就业、年龄、人口变迁、受教育程度、住房以及人口预测等120多个指标。
表1 中国大陆各大流域及其二级流域名称清单
|
流域 |
二级流域 |
|
长江流域 |
洞庭湖水系、汉江、湖口以下干流、嘉陵江、金沙江石鼓下游、岷沱江、鄱阳湖水系、太湖水系、吴江、宜宾至宜昌、宜昌至湖口 |
|
淮河流域 |
淮河上游(王家坝以上)、淮河中游(王家坝至洪泽湖出口)、淮河下游(洪泽湖出口以下)、山东半岛沿海诸河、沂沐泗河 |
|
黄河流域 |
河口镇至龙门、花园口以下、兰州至河口镇、龙门峡至兰州、龙门至三门峡、龙羊峡以上、内流域、三门峡至花园口 |
|
珠江流域 |
北江、东江、海南岛及南海各岛诸河、韩江及粤东诸河、红柳河、南北盘江、西江、郁江、粤西桂南沿海诸河、珠江三角洲 |
|
松花江流域 |
第二松花江、额尔古纳河、黑龙江干流、嫩江、松花江(三岔口以下)、绥芬河、图门江、乌苏里江 |
|
辽河流域 |
东北沿黄渤海诸河、东辽河、浑太河、辽河干流、西辽河、鸭绿江 |
|
海河流域 |
海河北系、海河南系、滦河及冀东沿海、徒骇马颊河 |
|
东南诸河流域 |
闽东诸河、闽江、闽南诸河、钱塘江、浙南诸河 |
2.3.2 交通干线专题数据库
- 计算原理与方法
与流域专题数据库的计算方法类似,如上所述。
- 交通干线专题数据库结构
包括铁路主要干线、国道、高速公路三个部分,具体线路见表2,每年将根据相关政府部门公告调整。提供铁路沿线1-60KM(步长1KM),国道及高速公路沿线1-30KM(步长1KM)辐射范围内的人口分布,包括省、市、县三个尺度,指标包括人口概要、婚姻、家庭、就业、年龄、人口变迁、受教育程度、住房以及人口预测等120多个指标。
表2 中国大陆交通干线清单
|
铁路干线(266条) |
跨局铁路:A010,A020,A030,A040,A050,A060,A070,A080 哈尔滨局:B010, B020, B030, B040, B050, B060, B080, B100, B110,B120, B130, B140, B150, , B160, B170, B180, B190, B200, B210, B221, B230, B240, B250, B260, B270, B280 沈阳局:C010, C020, C030, C040, C050, C061, C070, C080, C090, C100, C110, C120, C130, C150, C160, C170, C180, C200, C240, C250, C260, C290, C300, C310, C320, C330, C340, C360, C370, C380, C390, C400, C410, C420, C440, C450, C470, C480, C490, C500, C541 北京局:D010, D030, D040, D050, D070, D080, D100, D130, D150, D160, D200, D210, D250, D270, D290, D300, D330, D340, D350, D360, D380, D390, D400, D410, D450, D460, D470, D480, D490, D500, D510, D530, D550, D560, D570, D631, D691, D741, D751 呼和浩特局:E010, E020, E030, E050, E060, E070 郑州局:F010, F020, F040, F060, F080, F090, F120, F130, F140, F150, F160, F170, F190, F210, F230, F240, F260, F291, F321, F421, F431, F451 济南局:G020, G030, G040, G050, G060, G070, G080, G090, G130, G150, G160, G170, G200, G210, G231, G241 上海局:H010, H020, H030, H050, H100, H120, H130, H180, H240, H260, H270, H280, H300, H310, H340, H350, H360, H370, H380, H390, H410, H420, H430, H440, H500, H510, H530, H540, H550, H560, H590, H611 广州局:J010, J050, J060, J080, J090, J100, J110, J120, J130, J140, J171, J181 柳州局:K010, K021, K031, K041, K051, K080, K090, K100, K110, K121, K131 成都局:L010, L020, L030, L040, L050, L060, L070, L080, L100, L110, L120, L130, L140, L160, L171, L210, L220, L230, L240, L250, L260, L270, L280, L290, L300, L310, L320, L330, L340, L350, L360, L370, L391, L401, L411, L421, L501 兰州局:M010, M030, M040, M050, M060, M070, M080, M091, M100, M110 乌鲁木齐局:N010, N020, N030, N040, N051 |
|
国道(66条) |
G101,G102,G103,G104,G105,G106,G107,G108,G109,G110,G111,G112,G201,G202,G203,G204,G205,G206,G207,G208,G209,G210,G211,G212, G213,G214,G215,G216,G217,G218,G219,G220,G221,G222,G223,G224,G225,G227,G301,G302,G303,G304,G305,G306,G307,G308,G309,G310, G311,G312,G313,G314,G315,G316,G317,G318,G319,G320,G321,G322,G323,G324,G325,G326,G327,G328,G329,G330 |
|
高速公路(27条) |
G1,G2,G3,G4,G5,G6,G7,G10,G11,G12,G15,G18,G20,G22,G25,G30,G35,G36,G40,G42,G45,G70,G72,G75,G76,G78,G80,G85, |
2.3.3 特定区域专题数据库
特定区域人口平台建立了特定区域人口专题数据库,对我国一些特定区域的人口分布进行了整理和计算,例如城市群等,指标同样包括了人口概要、婚姻、家庭、就业、年龄、人口变迁、受教育程度、住房以及人口预测等120多个指标。特定区域清单见表3。
表3 特定区域清单
|
特定区域 |
城市群 |
县类型 |
|
华北地区、东北地区、华东地区、 中南地区、西南地区、西北地区、 长江三角洲、环渤海地区、 泛珠三角、东部地区、西部地区、 东部沿海、北部沿海、黄河中游、 长江中游地区 |
直辖市、省会城市、副省级市、 计划单列市、大中城市、长三角、 珠三角、沿海开放城市、 经济特区、海峡西岸、北部湾、 关中-天水经济区、一线城市、 二线城市、三线城市、 京津冀城市群、半岛城市群、 辽中南城市群、中原城市群、 徐州城市群、武汉城市群 |
粮食生产大县、棉花生产大县、 国家扶贫工作重点县、 环渤海经济区县、 南部沿海经济区县、 山区县、长江三角洲经济区县、 民族县、牧区、半牧区县、 丘陵县、山区县、平原县、 陆地边境县 |
3 数据库功能与服务
3.1 数据查询
用户登录数据服务网(www.3edata.com)中的区域人口平台进行数据查询,也可直接购买镜像版安装于本地服务器进行查询。
用户选择相应的基础数据库或专题数据库,选择地区、指标以及时间段后即可查看和下载人口指标数据。
3.2 数据定制
根据部门要求,提供基于数据库的定制服务,包括专题数据开发、人口预测、数据可视化(地图展示)等。
- 人口预测
定制服务中的人口预测不同于基础数据中地级市的人口预测,基础数据中的人口预测是基于人口按照六普时的生育水平、生育模式、迁移模式等不变的假设下的人口预测。
- 人口分布图定制
此部分基于ARCGIS平台,直观具体地将数据展现在地图上,让数据使用者可以轻而易举将指标数值与地域范围直接联系起来。
4 使用效益
- 多尺度、多维度的人口数据查询,方便管理者准确掌握人口信息:本系统打破地域范围的限制,实现了不同地域划分标准下人口数据的查询,帮助管理者客观准确地掌握人口信息,把握人口发展方向
- 系统化的预测功能,帮助城市合理规划:本系统在现有数据的基础上对城市未来十五年的人口规模和人口结构进行了预测,同时,提供个性化的人口预测定制,为管理者制定政策和规划者进行规划提供合理依据。
- 数据可视化,提高管理者工作效率:本系统实现了数据在地图上的显示,使管理者可以快速、直观地掌握人口信息,迅速找到人口指标薄弱地区,提高日常工作效率。
5 联系方式
- 北京数汇通环境技术研究院有限公司
- 公司网址:www.3edata.com
- 电话:010-62510184 手机:15910415867
- Email:3edata@vip.163.com
- 联系人:陈先生
- 地址:北京市海淀区中关村大街45号兴发大厦411室
- 邮编:100872
6 人口分布图展示
6.1 流域人口分布图

6.2 高速公路沿线人口分布图

6.3 国道沿线人口分布图

6.4 铁沿线人口分布图

